La transmisión de ondas electromagnéticas (p. ej., láseres) en plasma es un problema fundamental en la física del plasma. Generalmente, las ondas electromagnéticas no se pueden transmitir en plasmas muy densos, pero su transmisión y transferencia de energía desempeñan un papel clave en aplicaciones como la fusión láser de encendido rápido, la aceleración de partículas láser y las fuentes de radiación ultracortas y ultrabrillantes. En 1996, el Prof. SE Harris de la Universidad de Stanford se inspiró en el concepto de transparencia inducida electromagnéticamente (EIT) en la física atómica. Transparencia inducida electromagnéticamente (EIT) en física atómica, el Prof. SE Harris propuso el mecanismo de transparencia inducida electromagnéticamente (EIT) en plasma, es decir, con la ayuda de un haz de luz láser de alta frecuencia, luz láser de baja frecuencia, que es Originalmente no se podía transmitir, pero se puede transmitir en un plasma de alta densidad. Sin embargo, estudios posteriores han demostrado que la EIT no puede ocurrir en plasmas reales con límites, sino que estos estudios se limitan al rango de intensidad del láser relativista débil.
Recientemente, un equipo de investigación del investigador Yutong Li en el Instituto de Física de la Academia China de Ciencias/Centro Nacional de Investigación de Física de la Materia Condensada, Beijing, y el profesor Weimin Wang en el Departamento de Física de la Universidad Renmin de China, utilizando el sistema de desarrollo propio El programa de simulación de partículas KLAPS descubrió que después de que un láser de baja frecuencia incide en un plasma al mismo tiempo que un láser de alta frecuencia intensificado relativistamente, el láser de baja frecuencia puede penetrar en este plasma; sin embargo, cuando la polarización de los dos rayos láser es perpendicular, este fenómeno anómalo de transmisión desaparece, descartando así el efecto de transparencia relativista común. El equipo desarrolló un modelo de acoplamiento de tres ondas con intensidades de luz relativistas, que proporciona la banda de paso de frecuencia en la que se produce la EIT. Bajo una intensidad de luz relativista, el ancho de esta banda de paso es suficiente para garantizar una transmisión estable de láseres de baja frecuencia; sin embargo, bajo una intensidad de luz relativista débil, la banda de paso se estrecha hasta un punto aislado, lo cual es difícil de sostener, y esto explica por qué el efecto EIT no pudo ocurrir en condiciones relativistas débiles en estudios anteriores. Este trabajo muestra que el efecto de transparencia inducido electromagnéticamente que se produce en la física atómica también puede ocurrir en la física del plasma. Este fenómeno se puede aplicar directamente al encendido por colisión de doble cono (DCI) y a la fusión láser de encendido rápido para mejorar la eficiencia del acoplamiento del láser y el rápido rendimiento de electrones.
Los resultados de la investigación se publicaron el 7 de febrero de 2024 en Physical Review Letters bajo el título "Transparencia inducida electromagnéticamente en el régimen fuertemente relativista". Cartas de revisión física). Tiehuai Zhang, estudiante de doctorado en el Instituto de Física de la Academia China de Ciencias (IPS), es el primer autor del artículo, mientras que el profesor Weimin Wang de la Universidad Renmin de China, Yutong Li de IPS son los autores correspondientes y el académico Jie Zhang es el coautor. El tema de esta investigación proviene del "Programa novedoso de fusión láser" del Proyecto Piloto Estratégico (Clase A) de la Academia de Ciencias de China, dirigido por el académico Jie Zhang y apoyado por la Fundación Nacional de Ciencias Naturales de China y otras organizaciones.

Figura 1: [(a), (b)] Espectros de frecuencia del campo láser recolectado detrás de la región de plasma delimitada y [(c), (d)] Evolución de las formas de onda del campo láser filtrado con el tiempo, donde las diferentes curvas corresponden a la incidencia de la mezcla de campo de dos colores, onda puramente bombeada y onda puramente de baja frecuencia. (e), (f)] Evolución de las formas de onda del campo láser filtrado con el tiempo para la mezcla del campo de dos colores incidente, donde las líneas azul y roja corresponden al paralelismo de polarización y la perpendicularidad, respectivamente. Las líneas superior e inferior corresponden a las dos configuraciones iniciales de alta y baja densidad, respectivamente.

Figura 2: Relaciones de dispersión de la rama dominante de la onda de Stokes dadas por el modelo analítico para (a) la configuración de alta densidad versus (b) la configuración de baja densidad, donde aparece una banda de paso más amplia (resaltada en amarillo brillante). (c) Resultados de la simulación PIC unidimensional para diferentes intensidades de luz después de fijar la relación entre la densidad del plasma inicial y la densidad crítica efectiva con las posiciones de la banda de paso del EIT dadas por el modelo. (d) Resultados de la simulación PIC con posiciones de banda de paso dadas por el modelo para diferentes intensidades de luz y diferentes configuraciones de densidad.

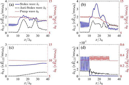
Figura 3: Evolución de la intensidad de la señal de la onda de Stokes (línea azul, eje izquierdo), onda de Stokes inversa (línea negra, eje izquierdo) y onda de bomba (línea roja, eje derecho) con respecto a la posición espacial, con el plasma uniformemente distribuido en el intervalo de 10λ0 < x < 30λ0 para las condiciones iniciales. (Los gráficos (a)-(c) tienen la misma intensidad de luz y diferentes densidades iniciales. (Los gráficos (d) dan los resultados de la simulación para el caso débilmente relativista, que son consistentes con las conclusiones de estudios previos.





